seryi
seryi

 
Уровень 21

  Торгую в компаниях:


Лучшее от seryi



ленивая стратегия Комментариев 19
2013-04-20 21:04:21Рейтинг 0

так почитать
2015-04-19 11:46:27Рейтинг 0

eurusd
2013-03-08 18:16:53Рейтинг 0

почитать Комментариев 3
2013-05-18 22:55:27Рейтинг 0

eurusd
2013-03-12 20:25:44Рейтинг 0

Price Action. Новая концепция и принцип торговли. Учимся читать цену > Простые баровые паттерны > Pin-bar >

*hi* 
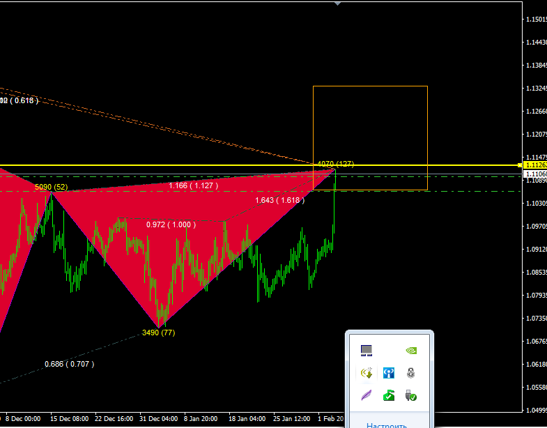
на дневке образовался паттерн симметричный треугольник, что может дать сигнал на продолжение тренда при пробое и подтверждении…
  • +4
  • Просмотров: 3283
  • 30 января 2016, 17:18
  • seryi
Понравилcя материал? Не забудьте поставить плюс и поделиться в социальной сети!

  Предыдущая запись в моем блоге
на досуге
Следующая запись в моем блоге  
так почитать
09 ноября 2015
31 января 2016

Брокер для ваших роботов, 15 лет на рынке

Комментарии (10)

+
0
Очень не определенно.
avatar

  13  nopTHou Сообщений: 350

  • 31 января 2016, 05:33
+
0
И стоп по Н4 высталял? Орофграфия помоему у меня ппс)))
avatar

  13  nopTHou Сообщений: 350

  • 31 января 2016, 05:37
+
0
*drinks*  да точино.
avatar

  13  nopTHou Сообщений: 350

  • 31 января 2016, 05:39
+
0
*hi* фигура флаг, вымпел с треугольником!!! сильный сигнал, с соблюдением правил паттернов)
Редактирован: 31 января 2016, 10:37
avatar

  21  seryi Автор Сообщений: 787 - seryi

  • 31 января 2016, 07:30
+
0
да есть нюанс)вымпел, может стать флагом, тоесть канал обновит минимум!
;) 
avatar

  21  seryi Автор Сообщений: 787 - seryi

  • 31 января 2016, 19:38
+
0
круто стрельнуло<img src='http://opentraders.ru/templates/skin/g6h/images/smilies/003.gif' alt=' :D '>&nbsp; 
можно и проверить пробой возвратом!!!
Редактирован: 3 февраля 2016, 18:44
avatar

  21  seryi Автор Сообщений: 787 - seryi

  • 3 февраля 2016, 18:41
+
0
неплохо прошли! достали селл зону1.10800
возможен откат
2.селл зона1.15180 на сегодня…
берегите депозит!
истина гдето рядом.
avatar

  21  seryi Автор Сообщений: 787 - seryi

  • 3 февраля 2016, 20:13
+
0
вот как бывает)
опционный канал на 1.11270
наверно туды гнали, но этож один раз в год и палка стреляет…

Редактирован: 3 февраля 2016, 21:42
avatar

  21  seryi Автор Сообщений: 787 - seryi

  • 3 февраля 2016, 21:42
+
0
вот такой расклад
avatar

  21  seryi Автор Сообщений: 787 - seryi

  • 3 февраля 2016, 22:01
+
0
фигура фымпел отработала или треугольник? по правилам сходили на высоту треугольника, что дальше.откат или возврат на уровень пробоя треугольника ну а потом полет
150-500пп.время покажет*good* 
avatar

  21  seryi Автор Сообщений: 787 - seryi

  • 7 февраля 2016, 19:18

Зарегистрируйтесь или авторизуйтесь, чтобы оставить комментарий